PHYLAX KALLIPOLIS

What I Know & How Friends and Citizens Why Now How to Help Documents Referencing PK PhyKal.info

Documents Referencing Phylax Kallipolis

I've dedicated this page to the few documents I stumbled upon, and have been able to preserve, during my research into Phylax Kallipolis and any traces of their existence throughout recorded history. If I come across more findings, I'll be sure to share them here.

However, it bears mentioning that these documents are presented as is, without insinuations or assumptions regarding their interpretations. The authenticity of these historical records, while compelling, remains unverified. As ever, I remain optimistic that should any information be deemed unsuitable, Phylax Kallipolis would provide an indication for its removal.

There is also a Didaskalos who has some documentation and very interesting PhyKal research: PhyKal.info

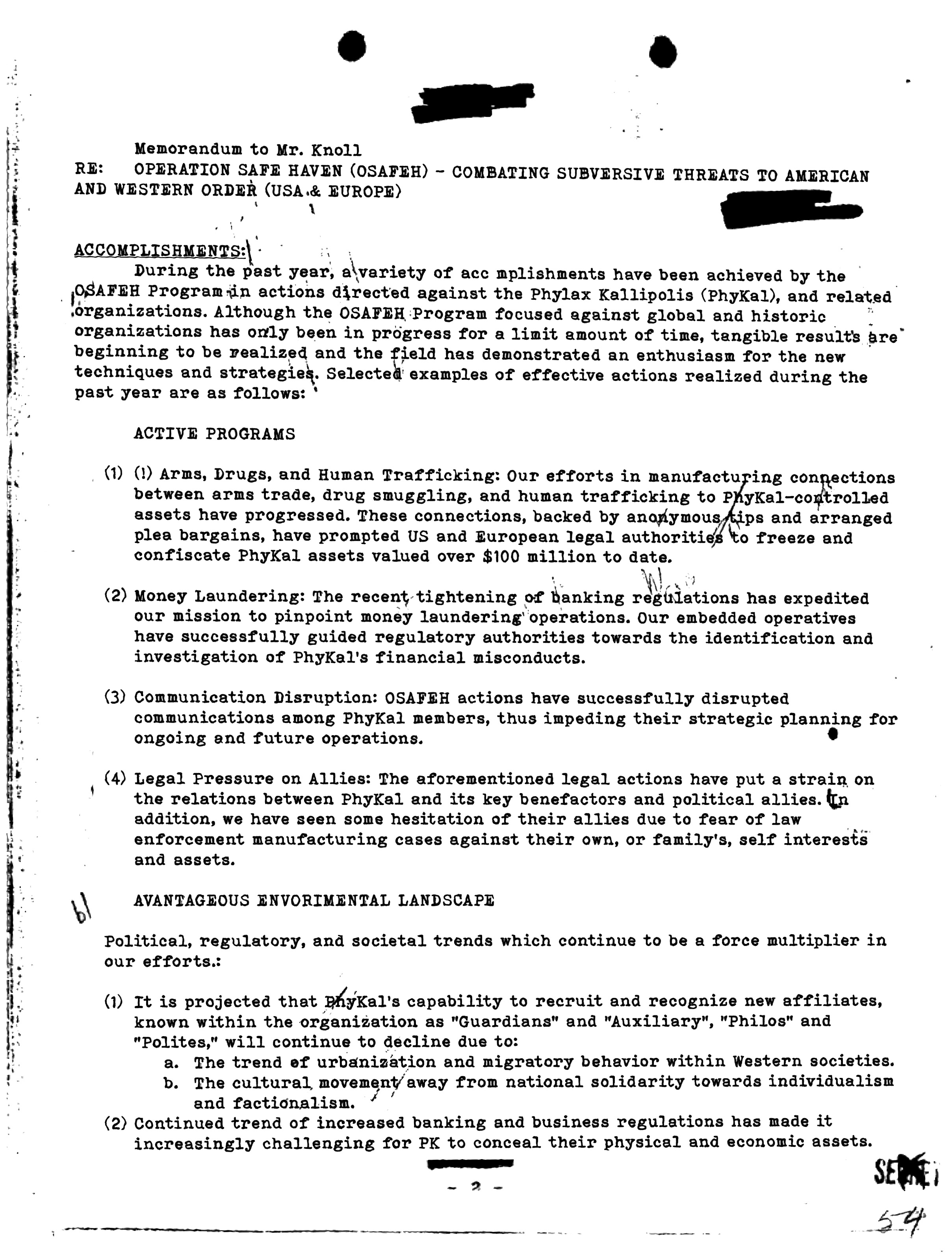
Citizens' Commission to Investigate the FBI

One interesting discovery during my exploration of the COINTELPRO operation was the existence of a group called the Citizens' Commission to Investigate the FBI. Apparently, there was an extra member in that group who remained unidentified. An undisclosed source suggested this unidentified member had shared documents, which may or may not have originated from the trove pilfered from the FBI field office. These documents, now shared with you, carry echoes of Phylax Kallipolis, adding yet another intriguing layer to our historical investigation.


Lend your support is by acquiring Obscura Sigils at: phylaxkallipolis.com